Найти коэффициент ДВУХ примеров (баллов также в 2 раза больше - 20)
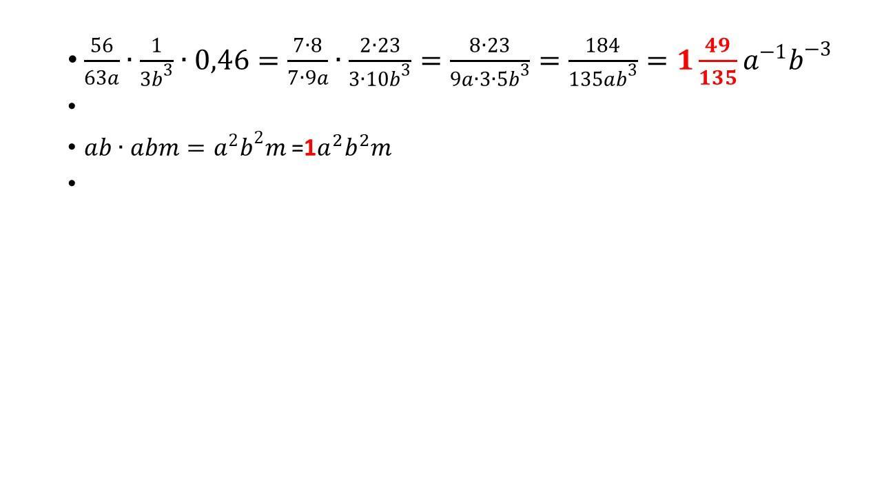
1) 56.63a * 1.3b3* 0,46
. - это значит неправильная дробь ( одна третья), а , - десятичная
b3 - это b в 3 степени
* - знак умножения
2) ab*abm
afet74:
если у вас задача по другому скажите ,поменяю
Ответы
Ответ дал:
0
Ответ:
Пошаговое объяснение:
с красными обозначен коэффициент
Приложения:

Вас заинтересует
2 года назад
2 года назад
2 года назад
7 лет назад
9 лет назад
9 лет назад