• Предмет: Алгебра
  • Автор: ilnazkhafizov1
  • Вопрос задан 3 года назад

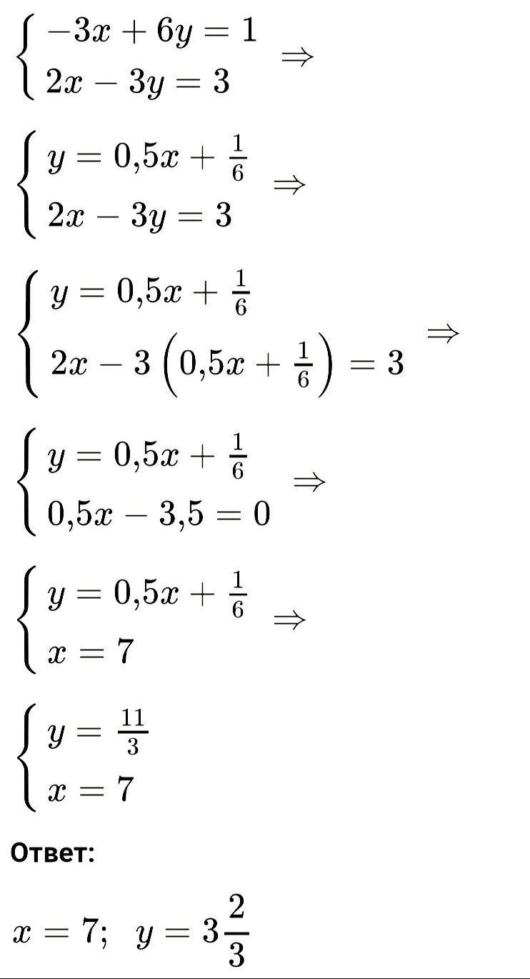
Помогите решить алгебру пожалуйста. 25 баллов

Приложения:

Ответы

Ответ дал: KennyLans
1

////////////////////

Приложения:
Вас заинтересует