Помогите пожалуйста сделать самостоятельную
1. Вычислить производную заданной функции по определению и найти значение производной в заданной точке.
y=
+ 2,
= 1
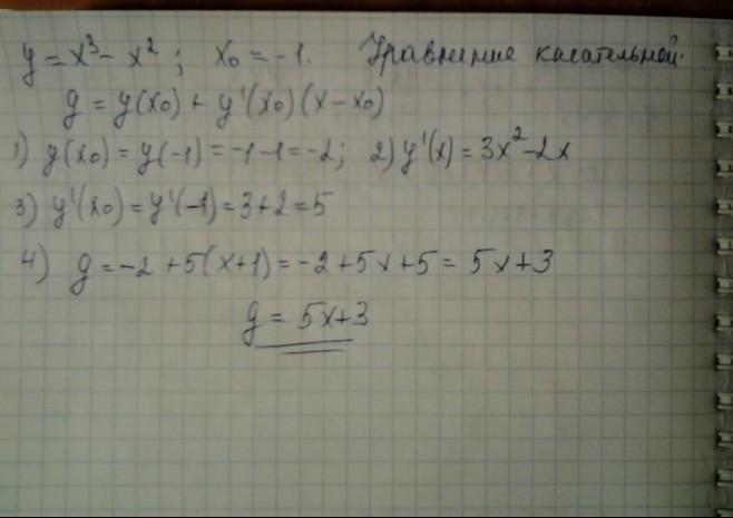
2. Написать уравнение касательной к графику функции в точке с абсциссой 
y=
+ 2,
= 5
Ответы
Ответ дал:
2
Ответ:
вот ответ тебе на вопрос
Приложения:

far1x72:
Спасибо, а можешь ещё 2 задание решить пожалуйста?
Вас заинтересует
2 года назад
7 лет назад
7 лет назад
9 лет назад
9 лет назад