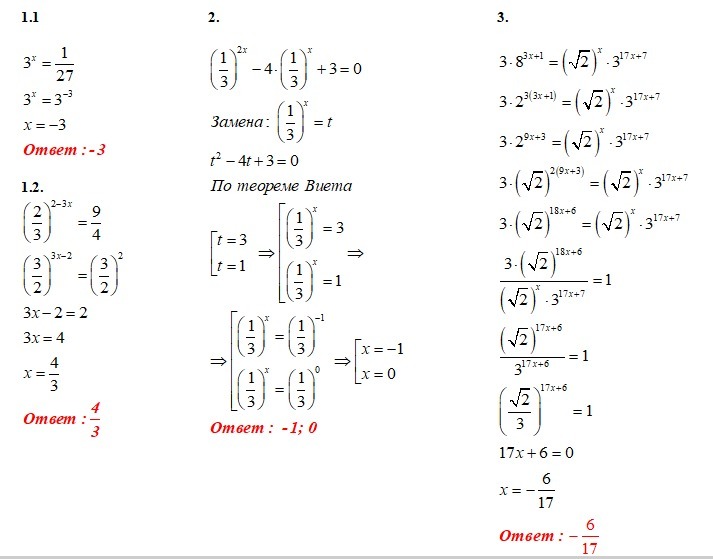
1. Решите уравнения:
1). 3^{x}=1/27 это дробь
2). (2/3)^{2-3x}=9/4 это дробь
2. Решите уравнение:
(1/3)^{2x}-4*(1/3)^{x}+3=0 это дробь
3. Решите уравнение:
3*8^{3x+1} =(корень из 2)^{x}*3^{17x+7}
Ответы
Ответ дал:
0
Решение во вложении.
Приложения:

Вас заинтересует
2 года назад
2 года назад
8 лет назад
8 лет назад
10 лет назад
10 лет назад
10 лет назад