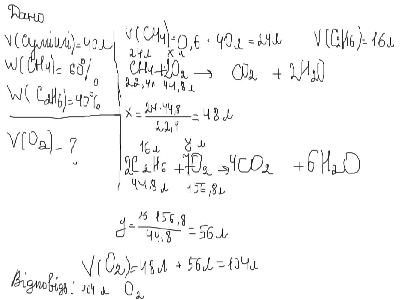
40 балів :) Обчислити об'єм кисню, необхідний для згоряння 40 л суміші, що складається з 60% метану і 40% етану
Ответы
Ответ дал:
1
Відповідь: 104 л кисню
Приложения:
Вас заинтересует
2 года назад
2 года назад
2 года назад
2 года назад
8 лет назад
8 лет назад
9 лет назад
9 лет назад