Информатика 21 балл
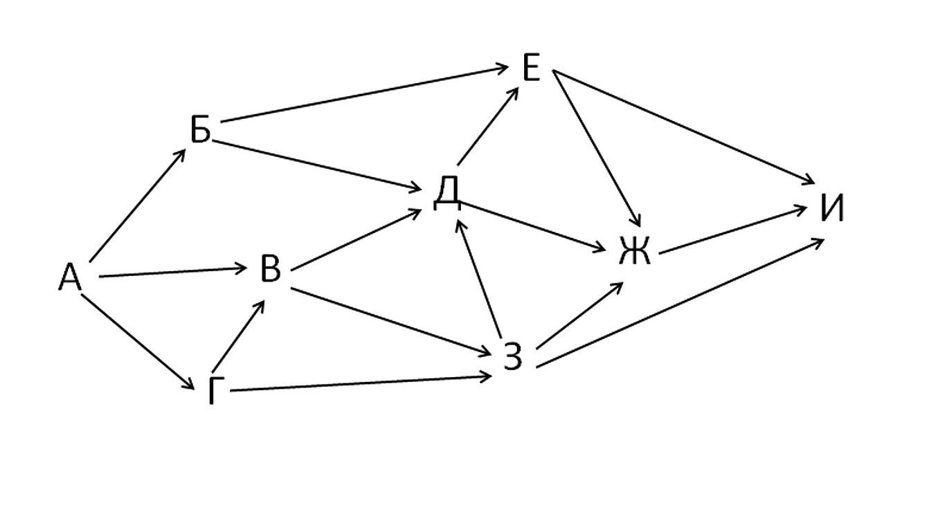
На рисунке — схема дорог, связывающих города А, Б, В, Г, Д, Е, Ж, 3, И. По каждой дороге
можно двигаться только в одном направлении, указанном стрелкой. Сколько существует различных путей из города А в город И, проходящих через город Д?
Приложения:

Ответы
Ответ дал:
1
А+Б+Д+Е+И
А+Б+Д+Е+Ж+И
А+Б+Д+Ж+И
А+В+Д+Е+И
А+В+Д+Е+Ж+И
А+В+Д+Ж+И
А+Г+В+Д+Е+И
А+Г+В+Д+Е+Ж+И
А+Г+В+Д+Ж+И
А+Г+З+Д+Е+И
А+Г+З+Д+Е+Ж+И
А+Г+З+Д+Ж+И
Всего 12 путей
nfo2:
Спасибо, конечно, но в том тесте 18 - правильный ответ
Вас заинтересует
2 года назад
2 года назад
2 года назад
7 лет назад
7 лет назад
9 лет назад