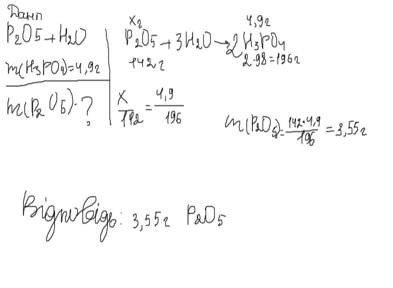
яка маса фосфор (v) оксиду прореагувала з водою якщо в результаті утворилося 4 ,9 г фосфатної кислоти
Ответы
Ответ дал:
1
Відповідь: 3,55 г P2O5
Приложения:

Вас заинтересует
2 года назад
2 года назад
2 года назад
2 года назад
7 лет назад
7 лет назад
9 лет назад