• Предмет: Математика
  • Автор: Fujoshi
  • Вопрос задан 3 года назад

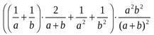
Чуваки, помогите тупому гуманитарию, позарез нужно выполнить эти задания, а я в матеше ничего кроме уравнений не смыслю. ставлю 80 баллов.

Приложения:

Ответы

Ответ дал: okankakozlova
2

Ответ:

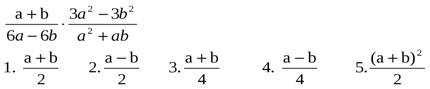
у тебя там вместо a должен стоять x. только тогда будет выходить решение

Приложения:

Fujoshi: ёмаё, а я то сижу сижу, прорешиваю, нифига не сходится, но это уж как учитель отправил задания
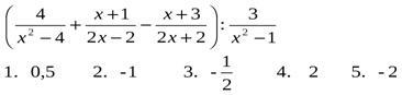
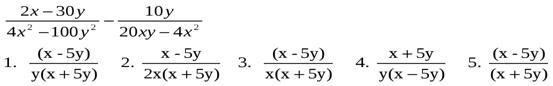
Ответ дал: gal4enok0071
2
Как то так! Надеюсь помогла!
Приложения:

Fujoshi: спасибо большое, солнце ты моё ! !
Вас заинтересует