Ответы
Ответ дал:
1
Ответ:
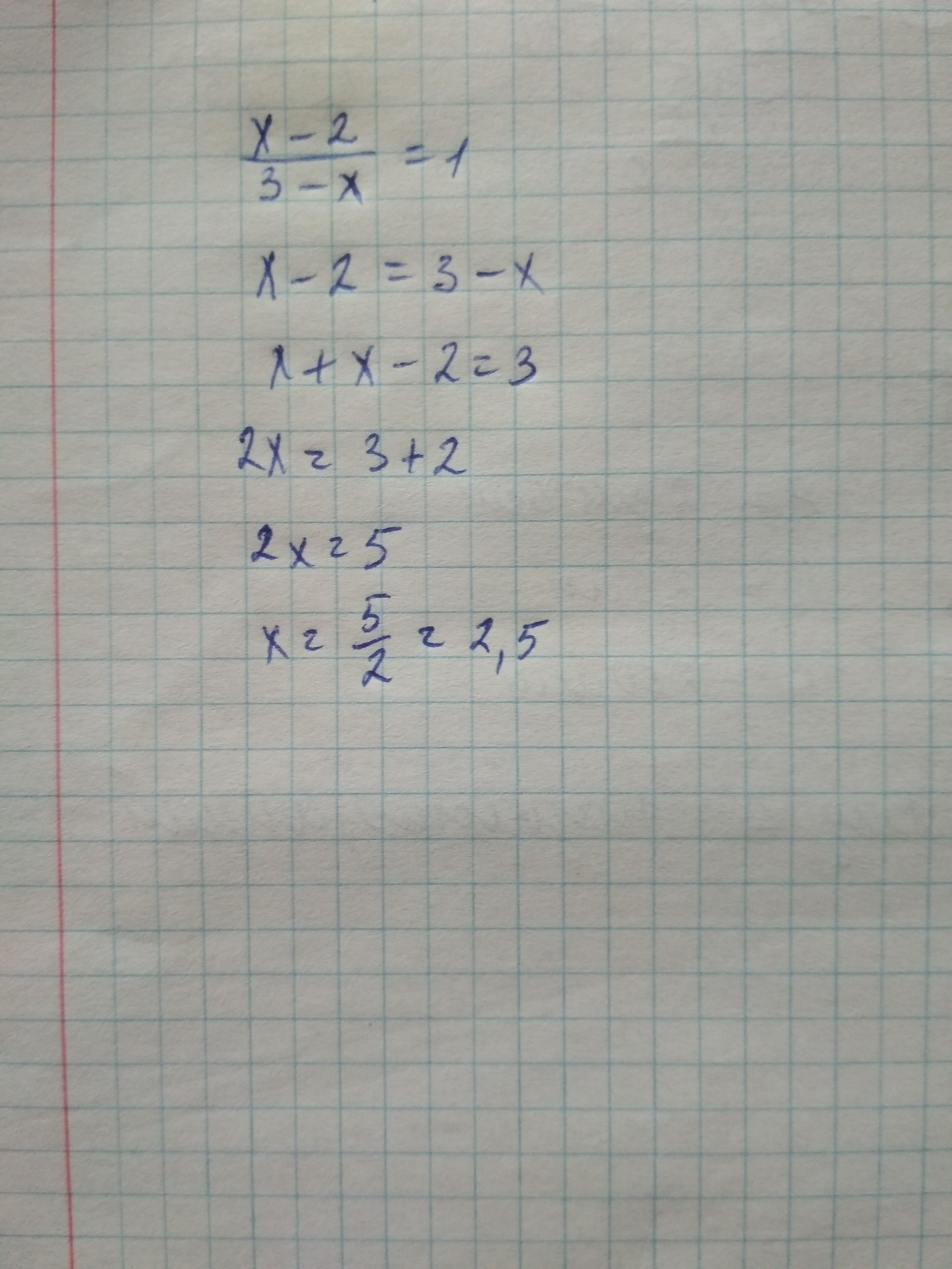
2.5
Пошаговое объяснение:
x-2=3-x (по свойству пропорции)
x+x=3+2
2x=5
x=2.5
Ответ дал:
0
Ответ:
2.5
Пошаговое объяснение:
Приложения:

Вас заинтересует
2 года назад
2 года назад
2 года назад
7 лет назад
7 лет назад
9 лет назад
9 лет назад