• Предмет: Алгебра
  • Автор: SpongeBab
  • Вопрос задан 3 года назад

1. Решите систему уравнений способом подстановки

-5х + 2 у = 3

3х + у = 7 2.

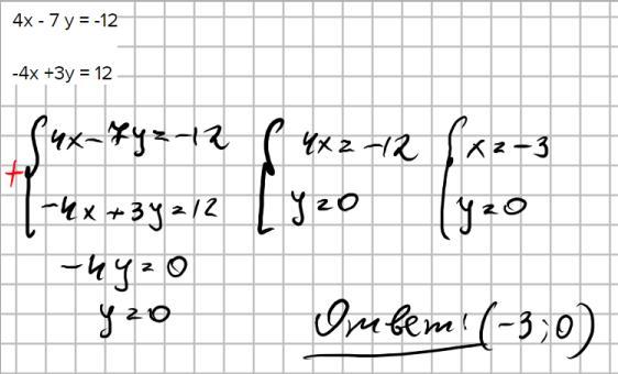
Решите систему уравнений способом сложения


4х - 7 у = -12
-4х +3у = 12

3. Решить задачу: Велосипедист проехал 40 км, причем , 2 ч он ехал по лесной дороге и 1 ч по шоссе. Скорость его на лесной дороге была на 4 км/ч меньше, чем скорость на шоссе. С какой скоростью велосипедист ехал по шоссе, и с какой по лесной дороге?


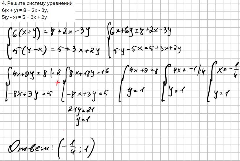
4. Решите систему уравнений

6(х + у) = 8 + 2х - 3у,

5(у - х) = 5 + 3х + 2у

Ответы

Ответ дал: Ilyazov45
1

Объяснение:

.............................................................................

Приложения:
Вас заинтересует