Ответы
Ответ дал:
2
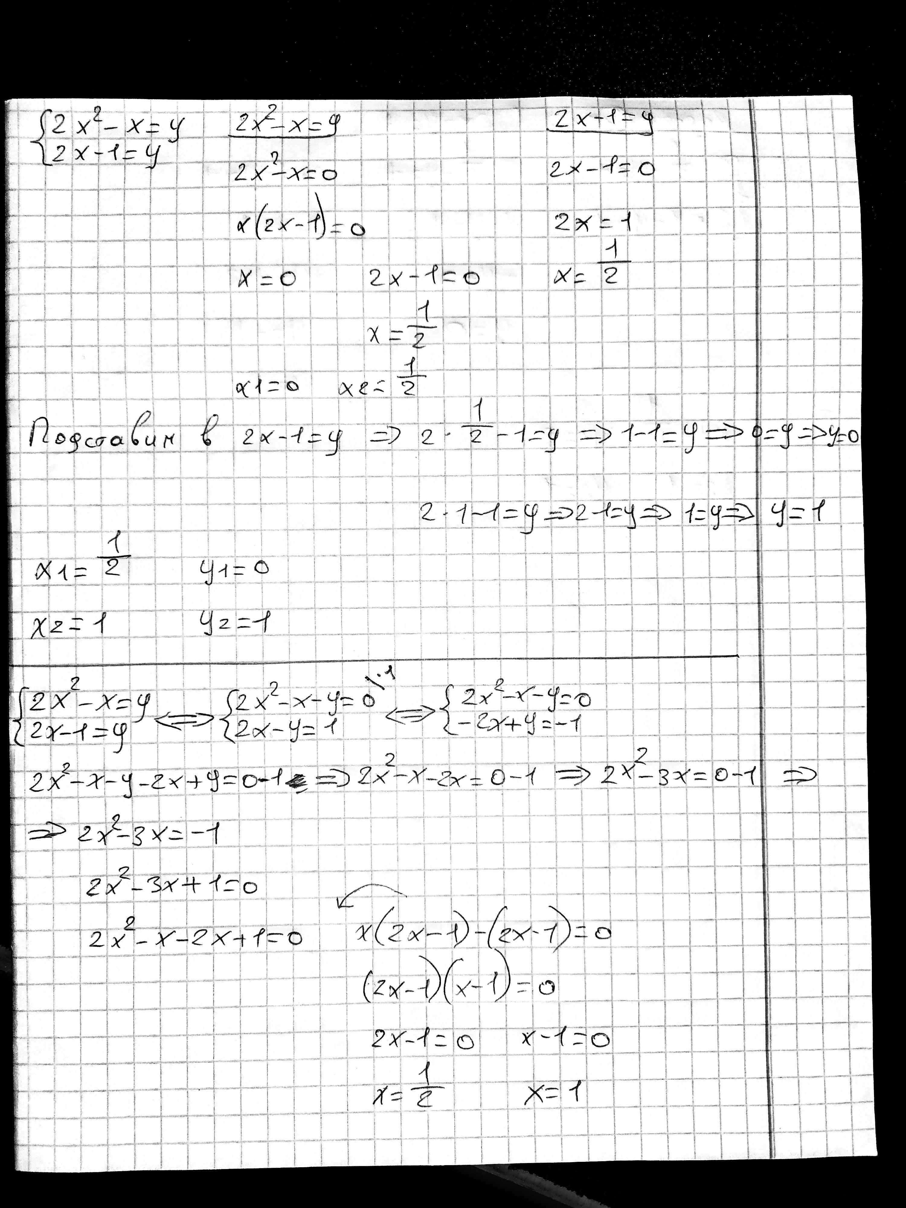
Ответ во вложении.Тут 2 способа.
1) Через решения отдельных функций и подстановки.
2) Методом подстановки.
Ответ:
[x1, y1 ]= [1/2, 0]
[x2, y2] = [1, 1]
Приложения:


Piraryky:
Спасибо)
Вас заинтересует
2 года назад
2 года назад
2 года назад
2 года назад
7 лет назад
7 лет назад