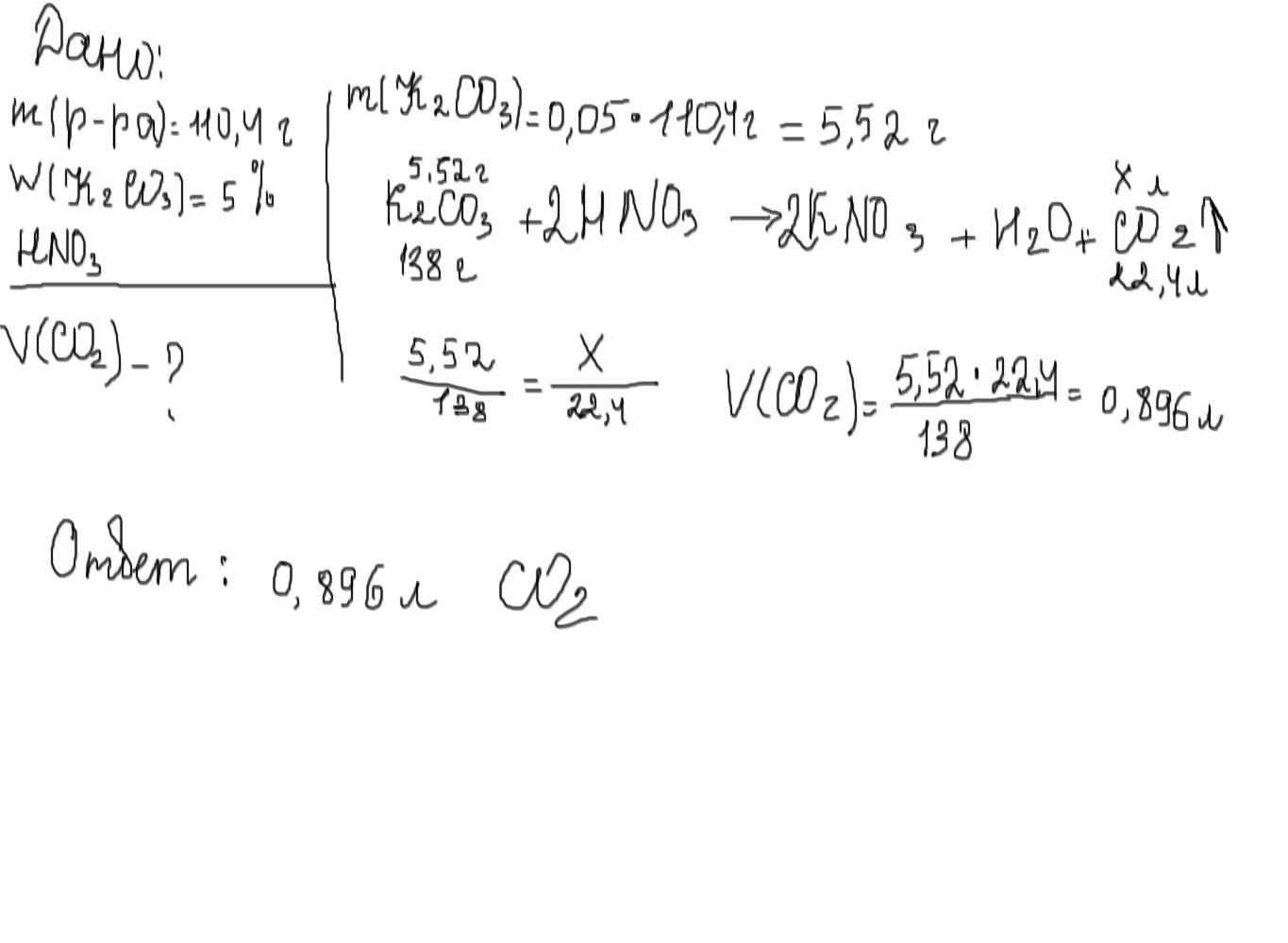
Задача по химии. К раствору карбоната калия массой 110,4г и массовой долей 5% прилили раствор азотной кислоты. Вычислите объём выделившегося в реакции газа.
Ответы
Ответ дал:
1
Ответ: 0,896 л углекислого газа
Приложения:

Вас заинтересует
2 года назад
2 года назад
2 года назад
7 лет назад
7 лет назад
9 лет назад