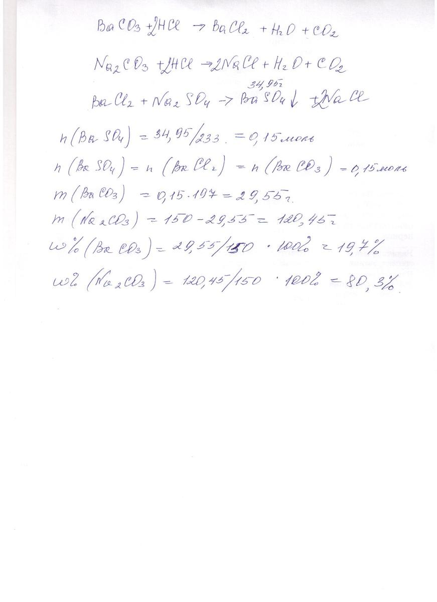
Смесь карбонатов бария и натрия массой 150 грамм
растворили в избытке соляной кислоты. К полученному раствору добавили избыток
раствора сульфата натрия. При этом выпало 34, 95 грамма осадка. Определите
массовые доли карбонатов в смеси.
Ответы
Ответ дал:
0
Решение во вложенном файле
Приложения:

Вас заинтересует
2 года назад
2 года назад
8 лет назад
10 лет назад
10 лет назад