Очень нужно!!!Даю 60 баллов!!!
Задание в прикрепленном фото.
Второй вариант
Задание:
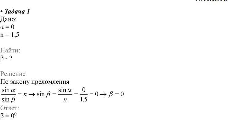
Вещество, из которого изготовлена призма-воздух. Среда, в которую поместили призму-стекло. Нужно спрогнозировать дальнейший ход луча.Там есть призма,на которой нужно нарисовать.
Приложения:

Ответы
Ответ дал:
1
Ответ:
Объяснение:
Постаралась сделать)
Приложения:


Аноним:
Мне нужно было на призме нарисовать дальнейший ход луча)
Вас заинтересует
2 года назад
2 года назад
2 года назад
7 лет назад
9 лет назад