• Предмет: Алгебра
  • Автор: dim14102005
  • Вопрос задан 3 года назад

постройте график функции​

Приложения:

Ответы

Ответ дал: david777ge
1

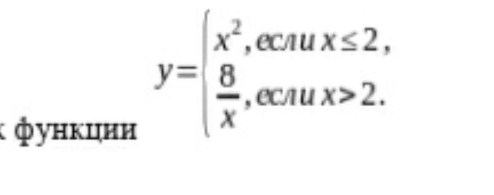
Построить график функции

у = { x² , если  x ≤ 2 ,

    { x/ 8 , если  x >2

График функции  y = x²  парабола ;  вершина в начале координат ветви направлены вверх ( ↑ по +Oy) .

В примере  часть параболы    - ∞ < x ≤ 2

График функции  y = 8/x  гипербола

( ось абсцисс (Ox) является горизонтальным асимптотом )

x →∞  y → +0   с(отаваясь положительно)

Схематический  график кусочно заданной  функции   приведен во вложении .  

Объяснение:

Приложения:

dim14102005: спасибо большое
david777ge: Пожалуйста !
Вас заинтересует