• Предмет: Химия
  • Автор: moskalenkoanna156
  • Вопрос задан 3 года назад

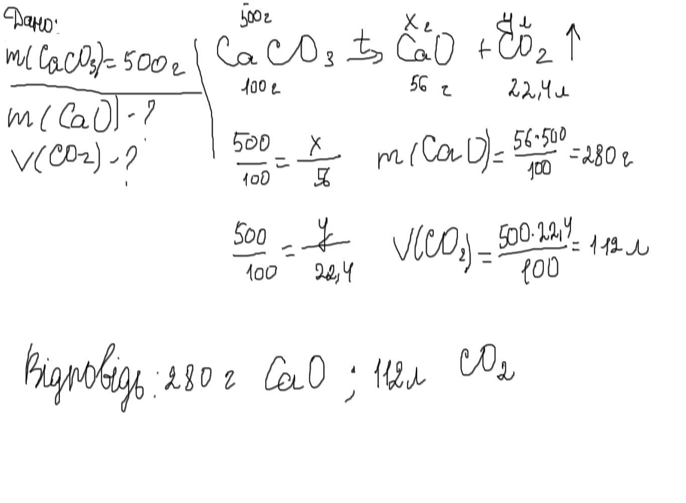
Вапняк масою 500г нагріли до припинення реакції. обчисліть масу негашеного вапна і об'єм вуглекислого газу які утворилися при цьому.​

Ответы

Ответ дал: kononovfelix
12

Відповідь: 280 г CaO, 112 л СО2

Приложения:
Ответ дал: zubareva45
13

Ответ:

m(CaO)=280г.

V(CO₂)=  112л.

Объяснение:

Дано:

m(CaCO₃)=500г.

Vm=22,4л./моль  

----------------------------------

m(CaO)-?V(CO₂)-?

Рішення:

1. Визначимо молярну масу вапняку   :  

M(CaCO₃)=40+12+48=100г./моль

2. Визначимо кількість речовини вапняку в 500г.пентану :  

n₁(CaCO₃)=m(CaCO₃)÷M(CaCO₃)=500г.÷100г./моль=5моль

3. Запишемо рівняння реакції:  

CaCO₃=CaO+CO₂

а) за рівнянням реакції кількість речовини:  

n(CaCO₃)=1моль n(CaO)=1моль  n(CO₂)=1моль

б) за умовою задачі кількість речовини:  

n₁(CaCO₃)=5моль n₁(CaO)=5моль  n₁(CO₂)=5моль

4. Визначимо молярну масу кальцiя оксиду (негашеного вапна):

M(CаO)=40+16=56г./моль

5. Визначимо масу негашеного вапна кількістю речовини 5моль:

m(CaO)=n₁(CaO)×M(CаO)=5моль×56г./моль=280г.

6. Визначимо объем оксиду вуглецю (вуглекислого газу) кількістю речовини 5моль:  

V(CO₂)=  n₁(CO₂)×Vm=5моль×22,4л./моль=112л.

7. Відповідь: масу негашеного вапна 280г. і 112л. об'єм вуглекислого газу.

Вас заинтересует