Ответы
Ответ дал:
1
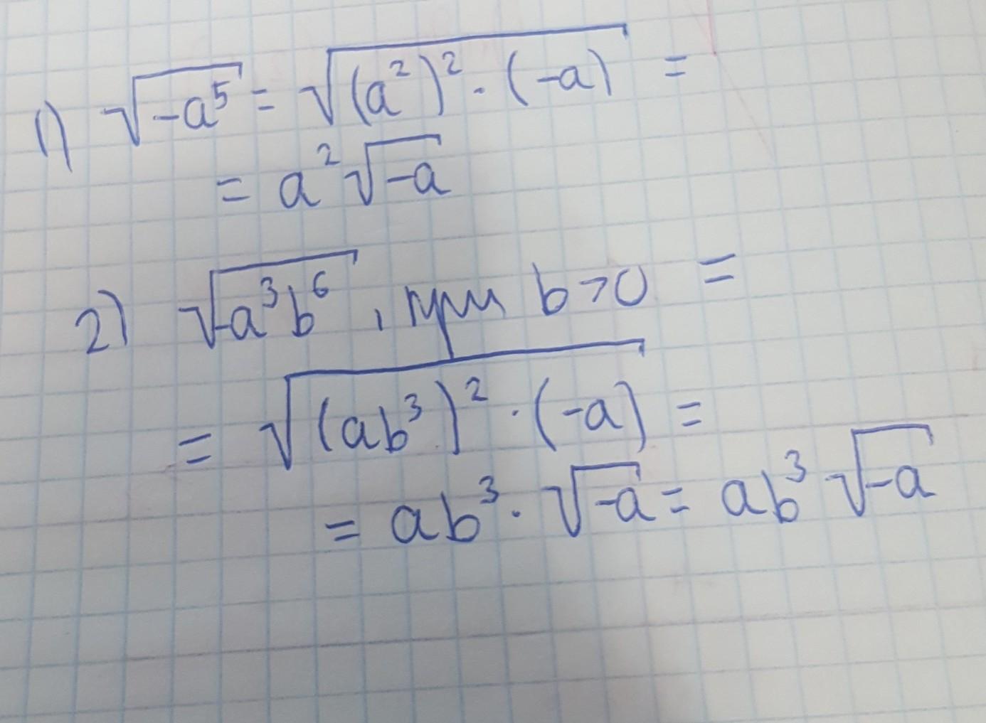
Решение на фоторафии!!!!!!
Приложения:

saralola:
спасибо огромное!)
Ответ дал:
1
Ответ:
а) √-а5=√-а*а4=а2√-а
б)√-а3*в6=√-а*а2*(-в3)*в2=√-а*а2*(-в)*в2*в2=ав2√-а(-в)
Объяснение:
Вас заинтересует
2 года назад
2 года назад
2 года назад
2 года назад
7 лет назад
7 лет назад
9 лет назад