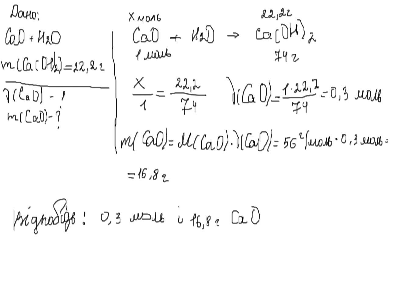
Кальцій оксид повністю прорегаував із водою, Маса утвореного кольцій гідроксиду- 22,2 г. Обчисліть кількість речовини та масу кальцій оксиду, що вступив у реакцію
Ответы
Ответ дал:
24
Відповідь: 0,3 моль та 16,8 г CaO
Приложения:

Вас заинтересует
2 года назад
2 года назад
2 года назад
2 года назад
7 лет назад
9 лет назад