• Предмет: Математика
  • Автор: loririm
  • Вопрос задан 3 года назад

Найти неоприделенные интегралы,
ПОМОГИТЕ ПОЖАЛУЙСТА
кто сделает желаю денег, здоровья, деток красивых

Приложения:

serjiof: разрешают грузить только 5 файлов. один не вошел(

Ответы

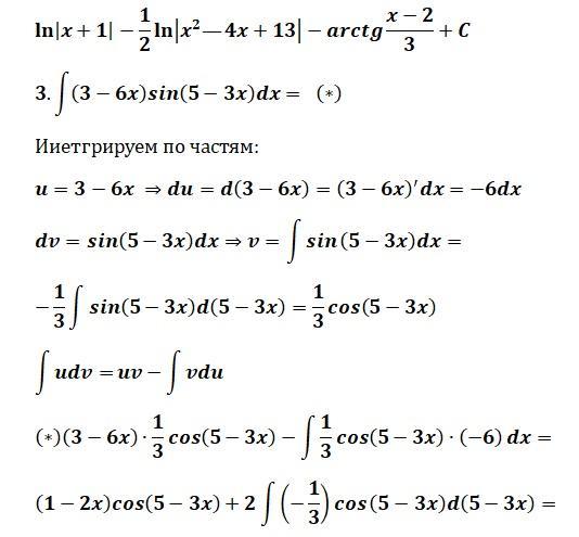
Ответ дал: serjiof
1

Ответ:

Пошаговое объяснение: решение в файле

Приложения:
Вас заинтересует