• Предмет: Химия
  • Автор: vgera543
  • Вопрос задан 3 года назад

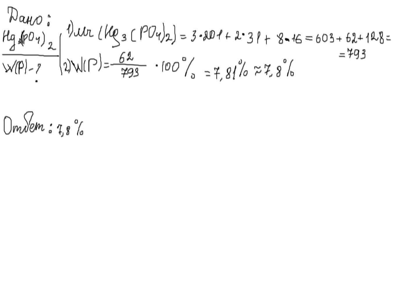
Рассчитай, чему равна массовая доля (в %) химического элемента фосфора в фосфате ртути(II) Hg3(PO4)2. Ответ впиши с точностью до одного знака после запятой. Ответ: w(P)= %

Ответы

Ответ дал: kononovfelix
2

Ответ: массовая доля фосфора = 7,8%

Приложения:
Вас заинтересует