• Предмет: Математика
  • Автор: kakazuzu333
  • Вопрос задан 3 года назад

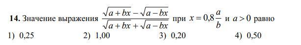
Решение и ответ. пожалуйста

Приложения:

Ответы

Ответ дал: dimondima2006
0

Ответ:

0,50 (4)

Пошаговое объяснение:

вместо x вставляем 0,8a/b. то есть везде где bx пишем 0,8a, потому что b сократилось, затем просто решаем.

Вас заинтересует