• Предмет: Алгебра
  • Автор: Аноним
  • Вопрос задан 3 года назад

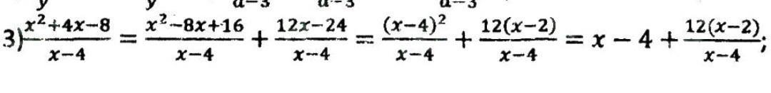
Обясните откуда взялось х^2-8х+16 + 12х-24, в предыдущем моем вопросе полное задание

Приложения:

Ответы

Ответ дал: qwerty122665
1

Объяснение:

они преобразования x^2 + 4x-8

если взять -8x и добавить 12x получается +4x... а если взять -8 и добавить -24 будет -8 , понятно? то есть они

x^2 + 4x-8 это уравнение преобразовали в 2 дроби выходит одно и тоже, если не понятно пиши, я попробую объяснить)


qwerty122665: я во втором перепутал если взять +16 и добавить - 24 будет -8
qwerty122665: понятно?
Аноним: да, спасибо
Ответ дал: Universalka
1

=x-4+\frac{12(x-2)}{x-4}=\frac{(x-4)*(x-4)+12(x-2)}{x-4}=\frac{(x-4)^{2}+12(x-2)}{x-4}=\frac{x^{2}-8x+16+12x-24}{x-4}=\frac{x^{2}+4x-8}{x-4}

Вас заинтересует