Помогите решить Помежуточную работу по русскому языку 8 класс
Приложения:

Adigro66:
Привет, ты отправлял вопрос по математике, но его удалили модераторы. Можешь ещё раз выставить задачу и отписаться здесь в комментариях?
Ответы
Ответ дал:
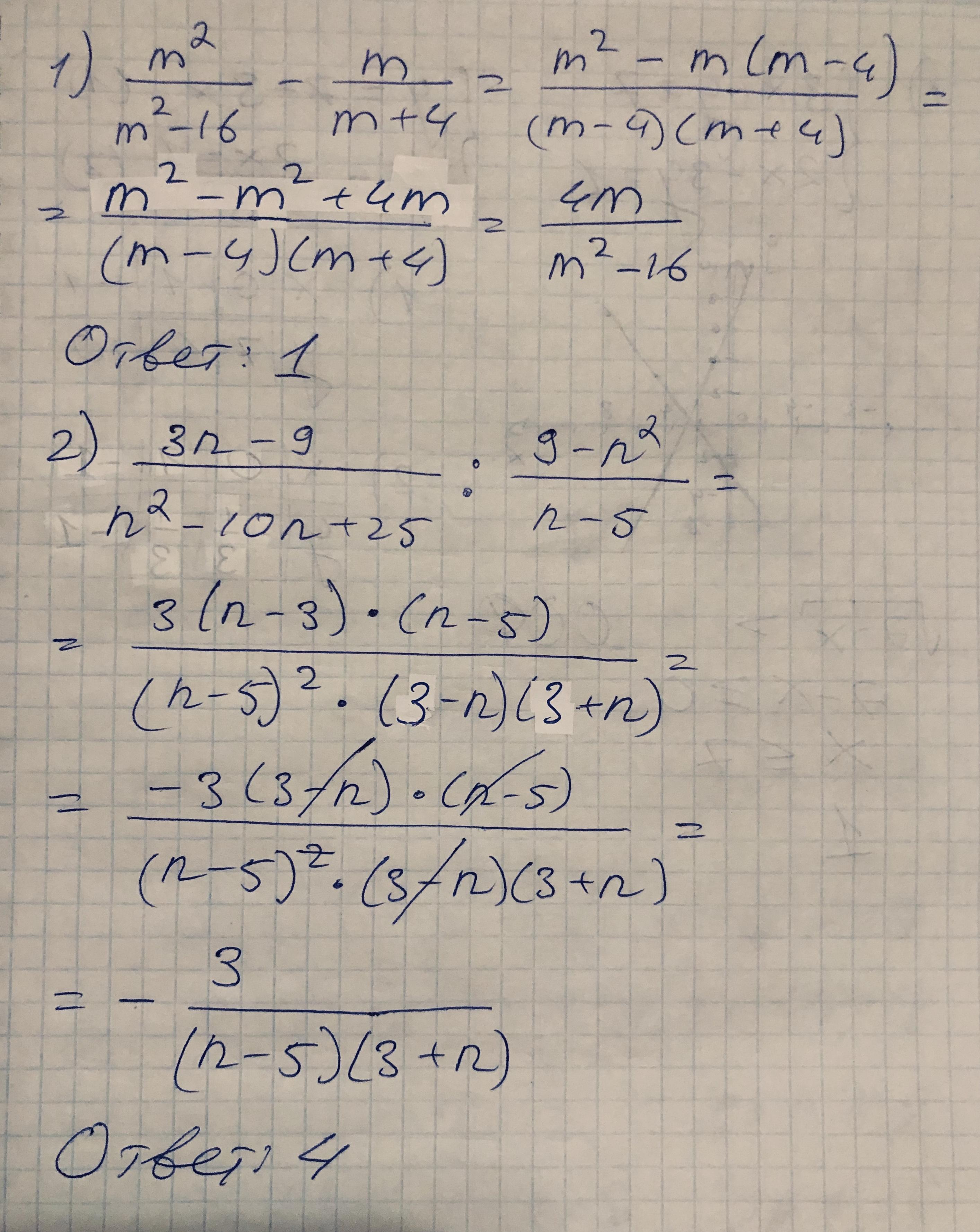
1
Ну вот как-то так, не забывай нажать на звёздочки и "спасибо"❤️
Приложения:




Вас заинтересует
2 года назад
2 года назад
2 года назад
7 лет назад