• Предмет: Математика
  • Автор: zheka6999
  • Вопрос задан 3 года назад

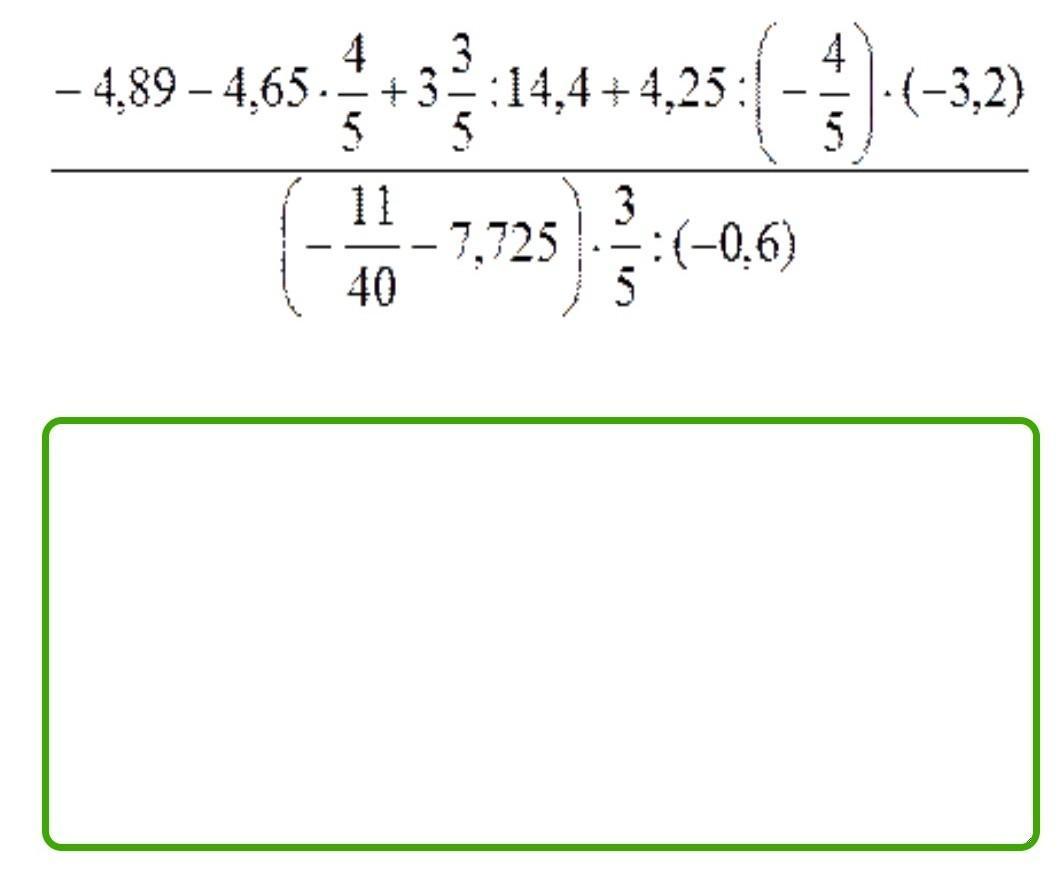
Срочно! Помогите пожалуйста с математикой, нужно расписать подробно. ​

Приложения:

zheka6999: Согласна, но у меня нет больше(((
zheka6999: Все на прошлые вопросы потратила, извините(
iramazurk: Тебе на когда нужно?
zheka6999: До завтрашнего утра
iramazurk: До утра понедельника?
zheka6999: Нет, воскресенья
iramazurk: Слишком много писать....
fufelShmerz1234: https://calc.by/math-calculators/fraction-calculator.html
iramazurk: Прикольный калькулятор. Сохраню. Сыну покажу)))
fufelShmerz1234: Да, очень хороший!

Ответы

Ответ дал: Dodoshik01
2

Ответ:

-4,89-4,65*4/5+3 3/5:14,4+4,25:(-4/5)*(-3,2)/(-11/40-7,725)*3/5:(-0,6)= -4,89-3,72+0,25+-17 / 8=-25,36/8=-3,17


monah2008: 4,25:(-4/5)*(-3,2) а здесь не +17 разве получится? минус*минус=плюс
monah2008: ответ = 8,64/-8=-1,08
zheka6999: Спасибо огромное!!! Вы очень мне помогли!
monah2008: Не за что)
Вас заинтересует