Помогите пж.те кто действительно понимает.Алгебра Квадратный тричлен. Полное решение на листике.
Приложения:

Ответы
Ответ дал:
1
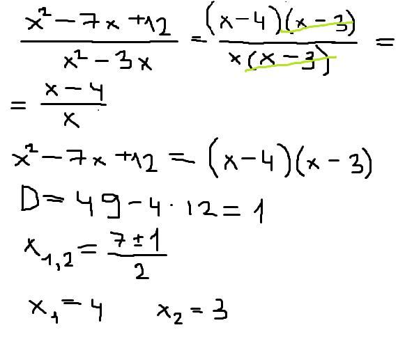
Ответ: х - 4 / х.
Решение приложено в виде фотографии
Приложения:

magma19821981:
Спс!!!!
Вас заинтересует
2 года назад
2 года назад
2 года назад
7 лет назад
7 лет назад