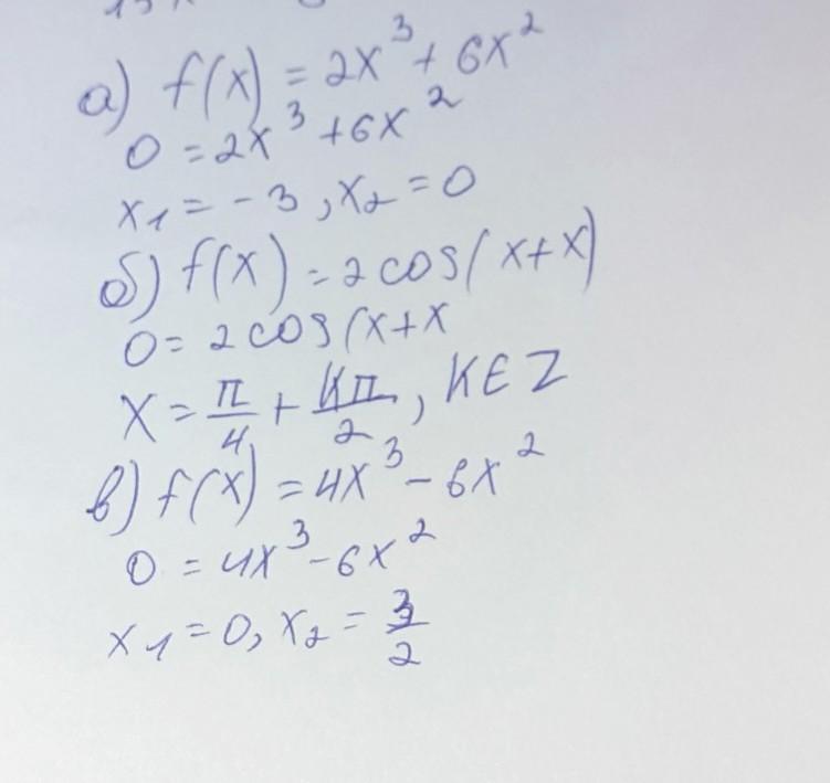
Решите уравнение f^/(Х) = 0, если:
а) f (Х) = 2Х^3+ 6Х^2
б) f (Х) = 2cos〖Х +Х〗
Решите неравенство f^/(Х) <0, если f (Х) = 4Х^3-6Х^2
Ответы
Ответ дал:
6
Ответ:
ответ указен на фотографии
Приложения:

Аноним:
мда уж что тут с моим почергом будто корова написала наверно корова ито лучше пишет
Вас заинтересует
2 года назад
2 года назад
2 года назад
7 лет назад
7 лет назад