Ответы
Ответ дал:
3
Ответ:
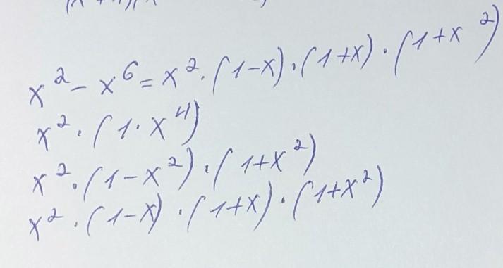
Ответ указен на фотографии
Приложения:

Ответ дал:
1
Ответ: x∈(-∞;-2)U(3;+∞).
Объяснение:
x²-x>6
x²-x-6>0
x²-3x+2x-6>0
x*(x-3)+2*(x-3)>0
(x-3)*(x+2)>0
-∞__+__-2__-__3__+__+∞
x∈(-∞;-2)U(3;+∞).
Вас заинтересует
2 года назад
2 года назад
2 года назад
7 лет назад
9 лет назад