• Предмет: Алгебра
  • Автор: lizamorozova2002
  • Вопрос задан 3 года назад

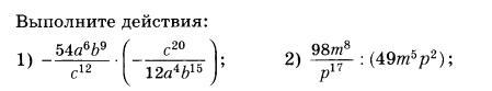
решите пожалуйста срочно

Приложения:

Ответы

Ответ дал: omskaya2000
0

Ответ: 1)9a^2c^8\2b^6 2) 2\49m^2p^19

Объяснение:

1) = 9a^2 * c^8\ 2b^6 = 9a^2c^8\2b^6

2) = 98 m^8\ p^17 * 1\ (49m^5p)^2 = 2\p^17* 1\ 49m^2p^2= 2\49m^2p^19

Вас заинтересует