• Предмет: Алгебра
  • Автор: dfgdgfgdfg
  • Вопрос задан 3 года назад

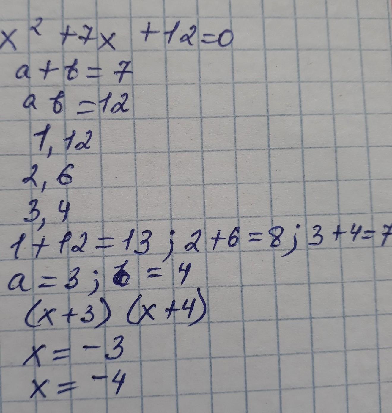
Найдите подбором корни уравнения онлайн x^2+7x+12=0

Ответы

Ответ дал: zhanatkyzyalia
1

100 процент дұрыс Апайдан сұрап тексерттім

Приложения:
Ответ дал: ezelkoi11
0

Ответ:

Корни уравнения: x=-3, x=-4

В таких простеньких уравнениях куда лучше использовать теорему Виета. На находение ответа уходит всего пару секунд)

Вас заинтересует