• Предмет: Алгебра
  • Автор: KristaNR
  • Вопрос задан 3 года назад

Решите пример ПЖ
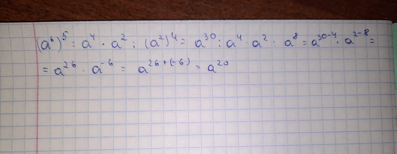
(a^6) ^5 : a^4 * a^2 : (a^2)^4

Ответы

Ответ дал: fridakahlo
1

Ответ

Объяснение:

a^20

Приложения:

KristaNR: Спасибо
Вас заинтересует