• Предмет: Алгебра
  • Автор: dvdjv
  • Вопрос задан 3 года назад

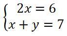
Розв’яжіть систему рівнянь?

Приложения:

Ответы

Ответ дал: n1982
0

Ответ:

х=3

3+у=7

у=4

Объяснение:

Вас заинтересует