• Предмет: Алгебра
  • Автор: dvdjv
  • Вопрос задан 3 года назад

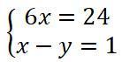
Розв’яжіть систему рівнянь?

Приложения:

Ответы

Ответ дал: n1982
0

Ответ:

х=4

4-у=1

-у=1-4

-у=-3

у=3

Объяснение:

Вас заинтересует