• Предмет: Алгебра
  • Автор: Hgfhtdct56744640
  • Вопрос задан 3 года назад

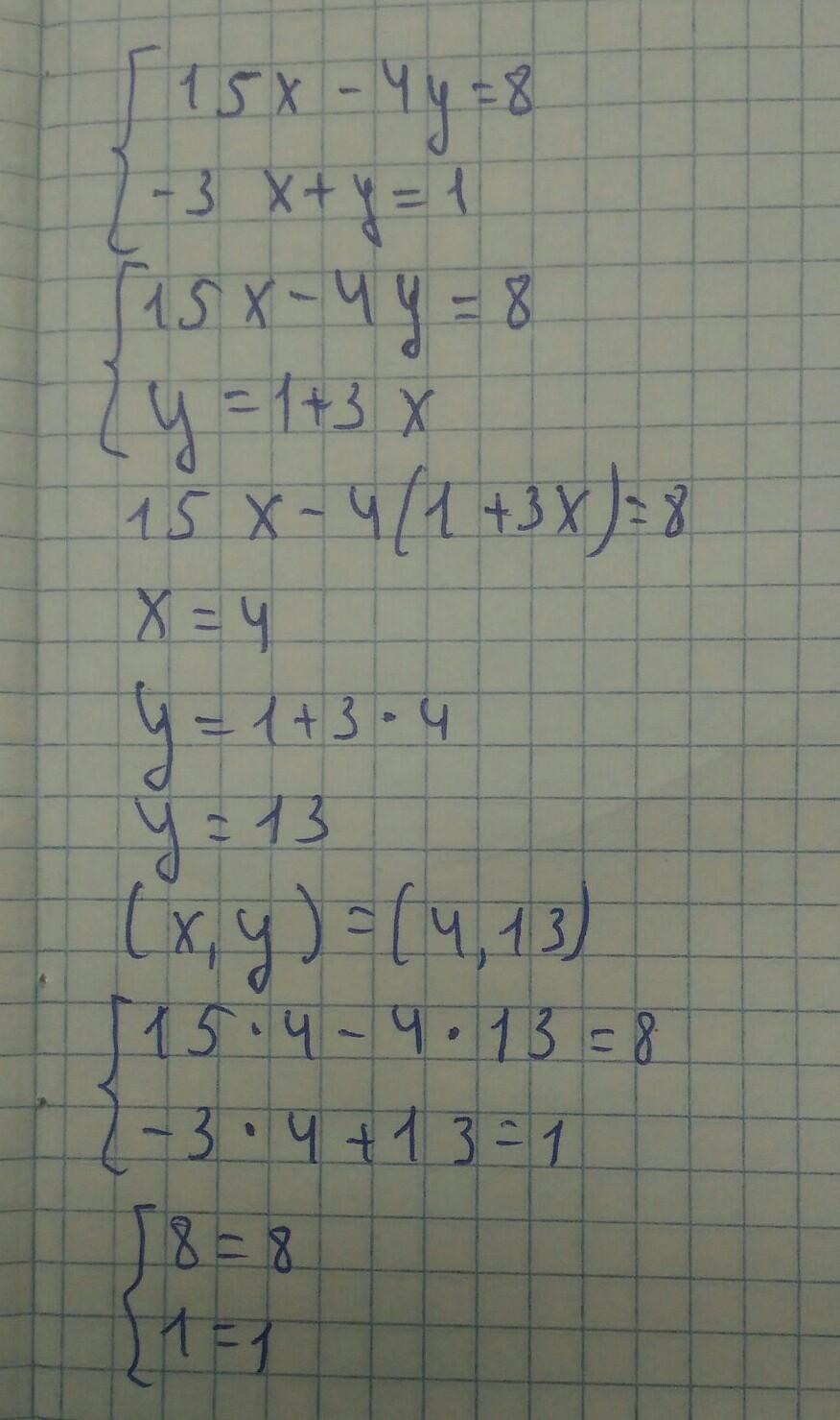
Решите систему уравнения методом сложения:

15x-4y=8
-3x+y=1

С подробным решением пожалуйста!
Заранее спасибо!

Ответы

Ответ дал: scorostnaja
1

Ответ:

Объяснение:решение на фото

Приложения:

Hgfhtdct56744640: не думал что так быстро...
scorostnaja: Пожалуйста)
Ответ дал: Nastyacat5445
0

Ответ на фотографии

Удачи вам!!!

Приложения:

Hgfhtdct56744640: спс брат!
Вас заинтересует