Ответы
Ответ дал:
1
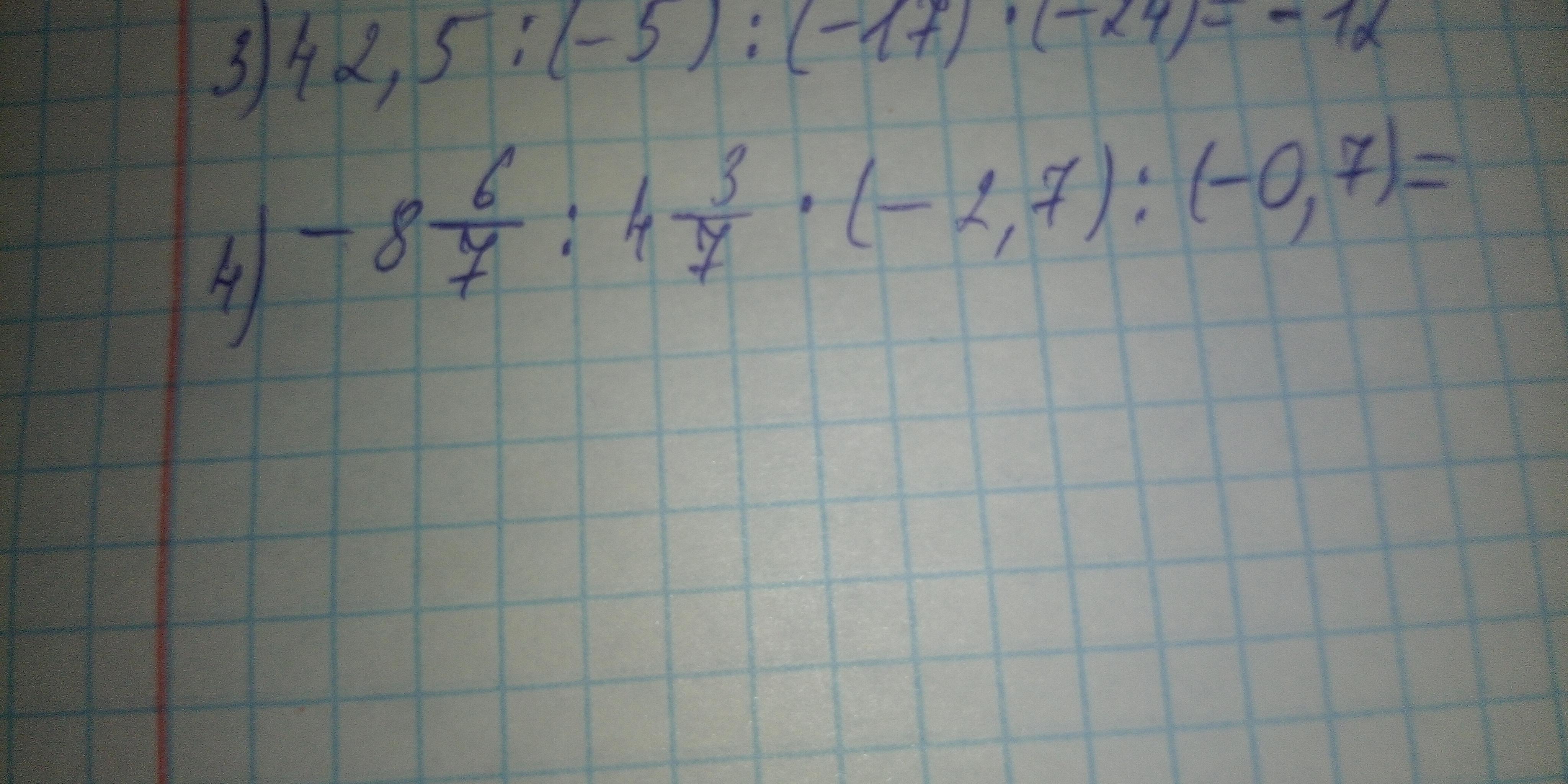
1) -8 6/7 : 4 3/7 = -62/7 * 7/31 = -62/31 = -2
2) -2 * (-2,7) = 5,4
3) 5,4 : (-0,7) = 5 4/10 : (-7/10) = 5 2/5 : (-7/10) = 27/5 * (-10/7) = -54/7 = -7 5/7
2) -2 * (-2,7) = 5,4
3) 5,4 : (-0,7) = 5 4/10 : (-7/10) = 5 2/5 : (-7/10) = 27/5 * (-10/7) = -54/7 = -7 5/7
Kun0:
Спасибо:)
Вас заинтересует
2 года назад
2 года назад
2 года назад
8 лет назад
9 лет назад
9 лет назад