• Предмет: Алгебра
  • Автор: krasnoshtannata67
  • Вопрос задан 3 года назад

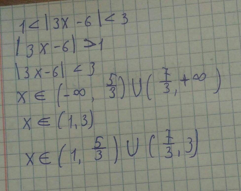
Алгебра 10 класс срочно ,решить двойное неравенство1 < | 3x-6 | < 3

Приложения:

Ответы

Ответ дал: Nastyacat5445
0

Ответ:

Ответ на фотографии

Удачи вам!

Приложения:
Ответ дал: scorostnaja
1

Ответ:

Объяснение:решение на фото. Надеюсь не ошиблась

Приложения:
Вас заинтересует