• Предмет: Алгебра
  • Автор: exitlagovich
  • Вопрос задан 3 года назад

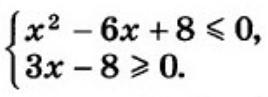
Решите систему неравенств

Приложения:

Ответы

Ответ дал: Zombynella
0

Ответ:

[8/3, 4], решение системы неравенств.

Объяснение:

Решить систему неравенств:

х²-6х+8<=0

3x-8>=0

Решим первое неравенство как квадратное уравнение:

х²-6х+8=0

х₁,₂=(6±√36-32)/2

х₁,₂=(6±√4)/2

х₁,₂=(6±2)/2

х₁=4/2=2

х₂=8/2=4

Смотрим на уравнение. Уравнение параболы.

Начертим СХЕМУ параболы (ничего вычислять не нужно), которую выражает уравнение, ветви направлены вверх, парабола пересекает ось Ох при х= 2 и х=4. По графику ясно видно, что у<=0 (как в неравенстве) между  значений х, то есть, решения неравенства в интервале х∈ [2, 4].

Значения х= 2 и х=4 входят в число решений неравенства, скобка квадратная.

Решим второе неравенство.

3x-8>=0

3x>=8

x>=8/3

х∈[8/3, +∞), решение второго неравенства.

Неравенство нестрогое, скобка квадратная.

Теперь на числовой оси нужно отметить оба интервала и найти пересечение решений, которое подходит двум неравенствам.

Отмечаем на числовой оси числа 2;   8/3 (≈2,7);   4.

Штриховка от 2 до 4, от 4 до 2;  от 8/3 (2,7) до + бесконечности.

Пересечение [8/3, 4], это и есть решение системы неравенств.


zekadil: пожалуйста не могли бы вы мне помочь с математикой прошу вас
Вас заинтересует