• Предмет: Алгебра
  • Автор: dashagx
  • Вопрос задан 3 года назад

{3x-4y=5/6x-6y=1рилоиргрролтпа

Ответы

Ответ дал: lerabell2006
0

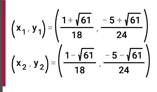
Ответ:

я надеюсь в вашем вопросе нужно было решить этот пример, если да, то ответ на картинке... если нужно подробное решение... напишите в комментариях,я напишу Вам. а так, на второй картинке есть решение.

Приложения:
Вас заинтересует