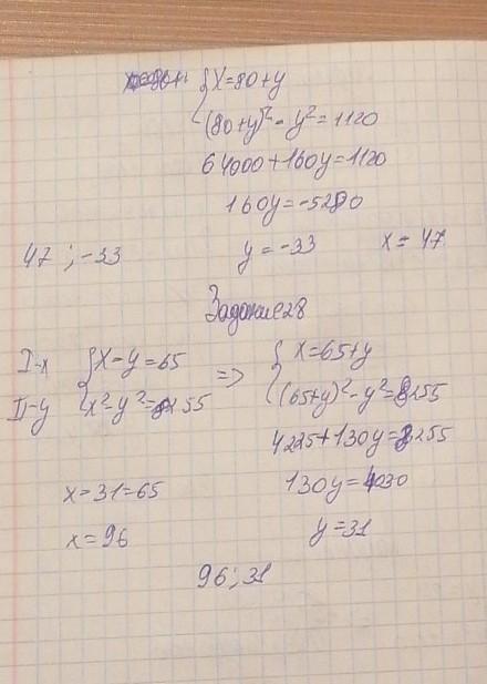
Разность двух чисел равна 80, а разность их квадратов 1120.
Я по математике
(27.
28. Разность двух чисел равна 65, а разность их квадратов 8255.
W
е длину прямоуго
Ответы
Ответ дал:
3
Пошаговое объяснение:
Прннанапнпнпнеапнп6е5сепесеем
Приложения:

Ответ дал:
0
Ответ:
1. x=47;-y=33
2. x=96; y=31
Пошаговое объяснение:
1. x-y=80 => x=80+y
x^2-y^2=1120
(80+y)^2 - y^2 = 1120
(80+y-y)(80+y+y) = 1120 формула разность квадратов
80 (80+2у)= 1120
2y= 1120/80-80=-66
y=-33
x=80-33
x=47
1. x-y=65 => x=65+y
x^2-y^2=8255
(65+y)^2 - y^2 = 8255
(65+y-y)(65+y+y) = 8255 формула разность квадратов
65 (65+2у)= 8255
2y= 8255/65-65=62
y=31
x=65+31
x=96
Вас заинтересует
2 года назад
2 года назад
2 года назад
2 года назад
7 лет назад