• Предмет: Алгебра
  • Автор: zhenyarepinetsky
  • Вопрос задан 3 года назад

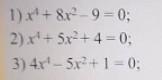
Решить 3 уравнения.​

Приложения:

Ответы

Ответ дал: n1982
0

Ответ:

1)х²=а

а²+8а-9=0

Д=64+36=100

а1=1

а2=-9

х²=1

х=±1

х²=-9

2)х²=а

а²+5а+4=0

Д=25-16=9

а1=-1

а2=-4

х²=-1

х²=-4

3)х²=а

4а²-5а+1=0

Д=25-16=9

а1=1

а2=1/4

х²=1

х=±1

х²=1/4

х=±1/2

Объяснение:

Вас заинтересует