• Предмет: Математика
  • Автор: Аноним
  • Вопрос задан 3 года назад

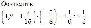
Помогите Смотрите картинки 50 балов!

Приложения:

Ответы

Ответ дал: andrejnedilskej
0

Ответ:

1. - 4/5.

2.  х = - 13/3.

3. 18/5.

4. 6/49.

5. - 1/3

Пошаговое объяснение:

Вас заинтересует