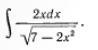
Найти неопределенный интеграл и результаты интегрирования проверить дифференцированием
Приложения:

Ответы
Ответ дал:
0
Вас заинтересует
2 года назад
2 года назад
2 года назад
2 года назад
7 лет назад
9 лет назад