• Предмет: Химия
  • Автор: Nika112244
  • Вопрос задан 3 года назад

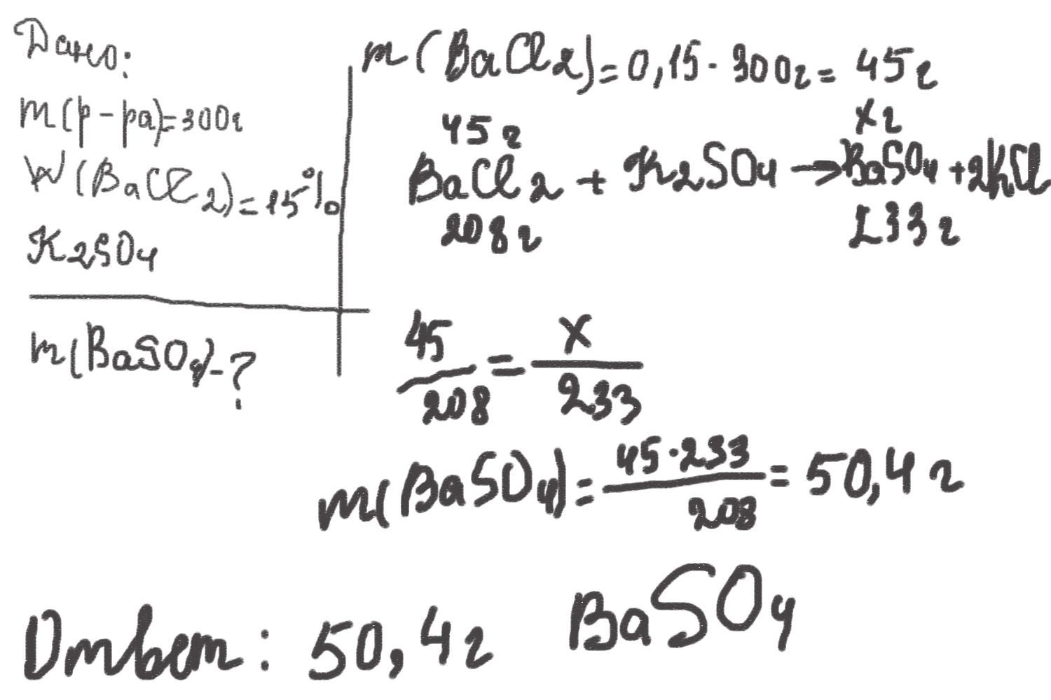
при взаимодействии 300 г 15% го раствора хлорида бария с сульфатом калия образовался осадок найти массу осадка

Ответы

Ответ дал: kononovfelix
0

Ответ: 50.4 г BaSO4.....

Приложения:
Вас заинтересует