• Предмет: Алгебра
  • Автор: коф26356
  • Вопрос задан 3 года назад

ПРОШУ ПОМОГИТЕ РЕШИТЬ ПОЖАЛУЙСТААА!!!СРОЧНООО

Приложения:

Ответы

Ответ дал: sergyzak2020bor
1

Ответ:

(8; 1)

Объяснение:

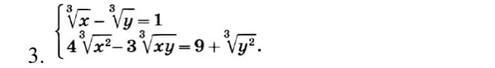
Делаем замену: k=\sqrt[3]{x}; t=\sqrt[3]{y}

Система примет вид

\left \{ {{k-t=1} \atop {4k^2-3kt=9+t^2}} \right.

выполним подстановку k=t+1 во втором уравнении

получим:

4(t+1)²-3(t+1)t = 9 + t²

4t²+8t+4 - 3t²-3t - - 9 =0

5t -5 = 0

t = 1

k = 2

Выполняем обратную подстановку

2=\sqrt[3]{x}; 1=\sqrt[3]{y} имеем:

x = 8;  y = 1


коф26356: Cпасибо огромное
Вас заинтересует