• Предмет: Алгебра
  • Автор: 777KoToFeiCh777
  • Вопрос задан 3 года назад

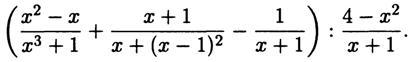
упростите выражение пожалуйста

Приложения:

Ответы

Ответ дал: Dream24I7
1

Ответ:

Ответ на фото)

Объяснение:

Приложения:
Вас заинтересует