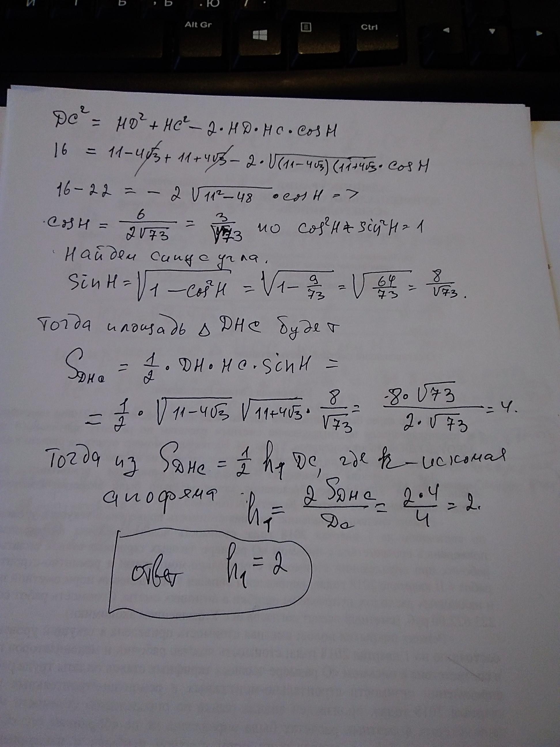
Основанием пирамиды является ромб с острым углом 30 и стороной 4. Найдите апофему пирамиды, если они все равны, а высота пирамиды корень из 3.
Ответы
Ответ дал:
1
Ответ: апофема равна 2
Объяснение: Рисунок отдельно. Решать надо было много, поэтому не печатал.
Приложения:



rariru:
Спасибо большое!
Можете решить вот эту задачу, если не сложно? Ответ больно не красивый получается, может где-то ошибка.
Вас заинтересует
2 года назад
2 года назад
2 года назад
2 года назад
7 лет назад
9 лет назад
9 лет назад