[СРОЧНО] Указать числа, которые являются корнями квадратного трехчлена 2x^2(в квадрате) - 3х - 2.
А 2; - 12
Б 2; -1
В 0;- 12
Г 4; - 1
Ответы
Ответ дал:
1
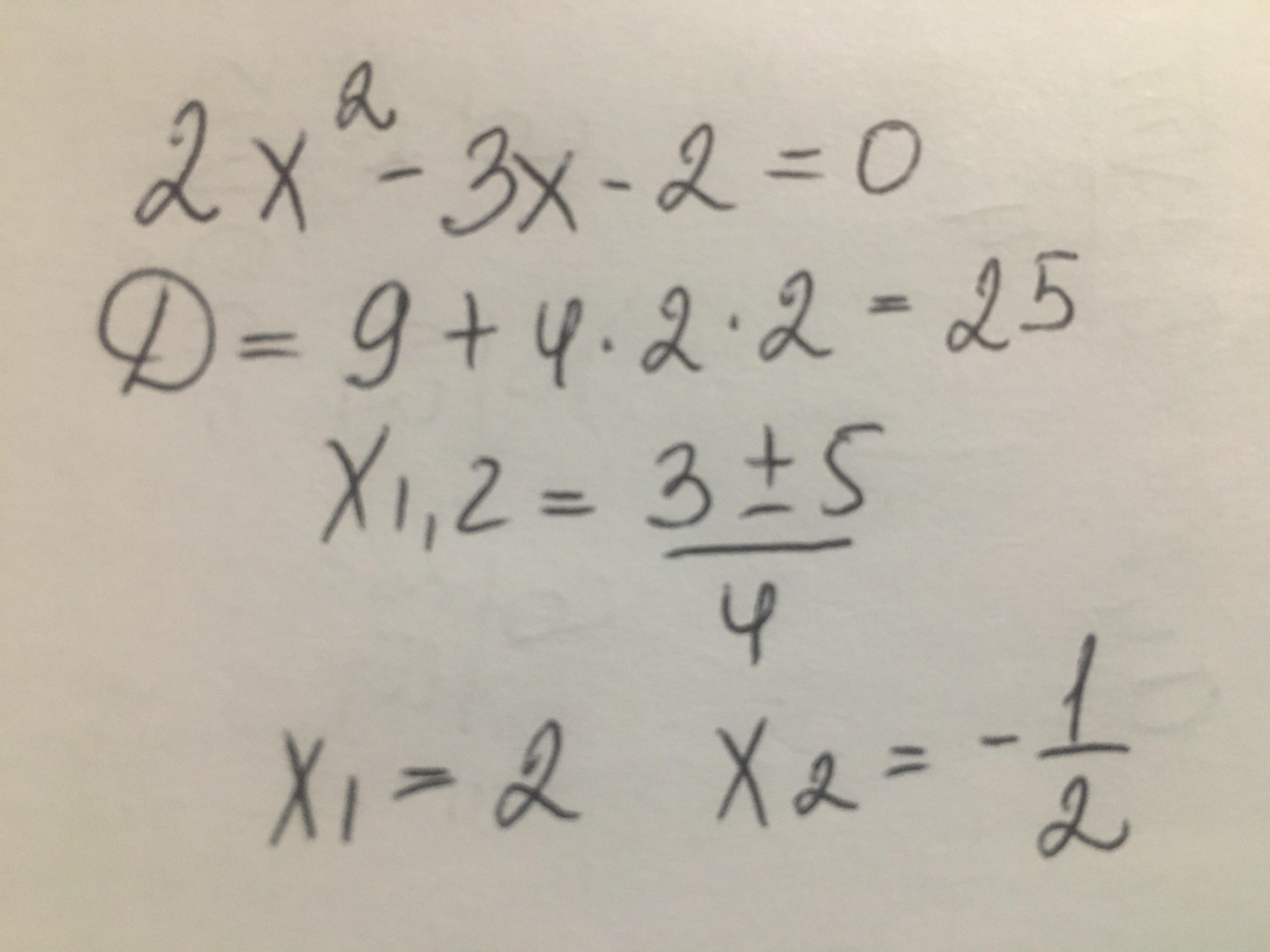
Ответ:
2; -1/2
Объяснение:
Решение в приложении
Приложения:

Thinkingman2:
Спасибо ОГРОМНОЕ!
Вас заинтересует
2 года назад
2 года назад
2 года назад
7 лет назад
9 лет назад