• Предмет: Математика
  • Автор: anastasialove359
  • Вопрос задан 3 года назад

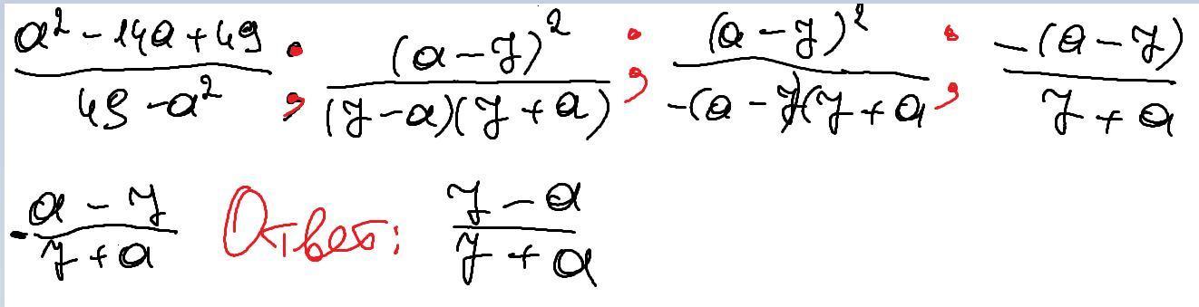
решите пожалуйста и объясните ​

Приложения:

Ответы

Ответ дал: mouse167
1

Ответ:

\frac{7-a}{7+a}

Пошаговое объяснение:

Приложения:
Вас заинтересует