Ответы
Ответ дал:
0
Ответ:
Пошаговое объяснение:
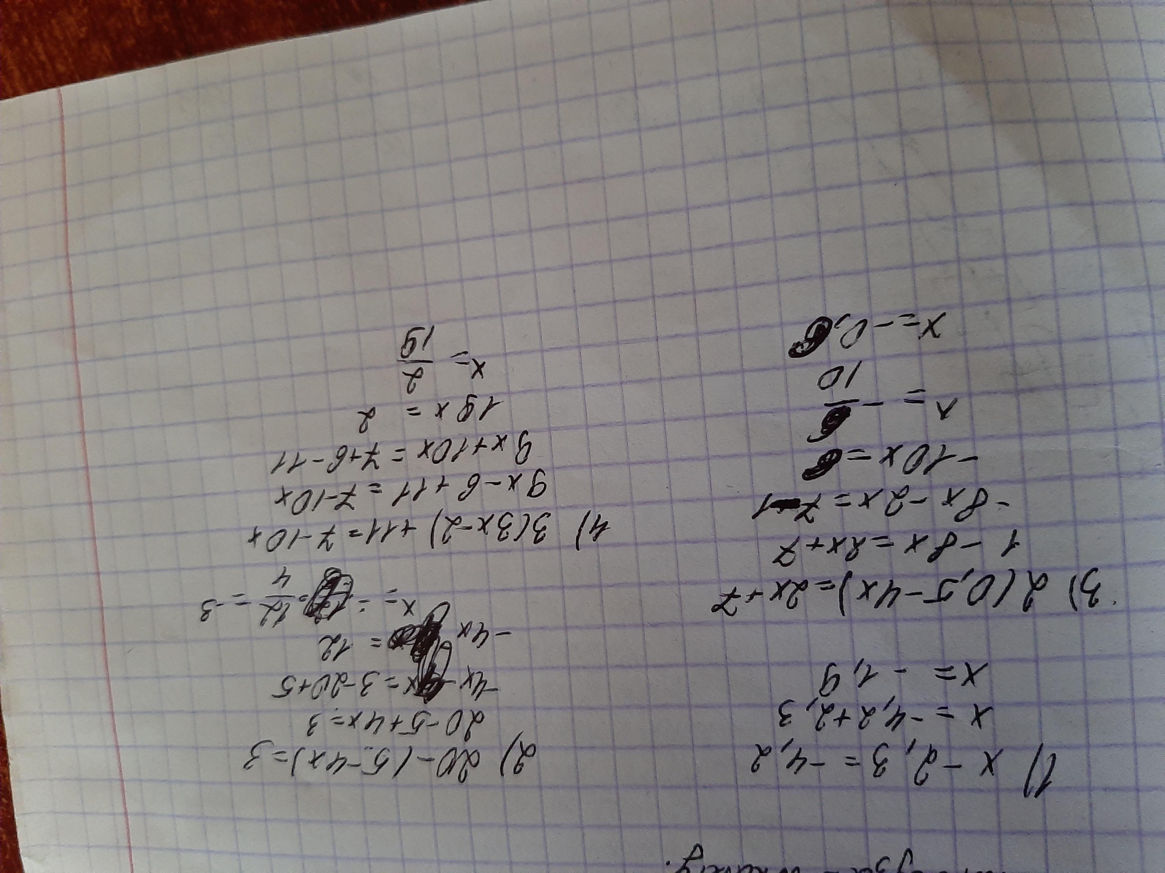
X-2.3=-4.2
х=-4.2+2.3
х=-1.9
20-(5-4х)=3
20-5+4х=3
4х=3+5-20
4х=-12
х=-12:4
х=-3
2(0,5-4х)=2х+7
1-8х=2х+7
-8х-2х=7-1
-10х=6
х=6:(-10)
х=-0.6
3(3х-2)+11=7-10х
9х-6+11=7-10х
9х+10х=7-11+6
19х=2
х=2\19
Ответ дал:
0
Ответ:
Пошаговое объяснение:
Сделай ответ лучшим, пожалуйста
Приложения:

Вас заинтересует
2 года назад
2 года назад
9 лет назад
9 лет назад