• Предмет: Алгебра
  • Автор: kama3434
  • Вопрос задан 3 года назад

Пожалуйста помогите 7 класс соч​

Приложения:

Ответы

Ответ дал: vashartemk
1

Должно быть так, давно не решал такие вещи

Приложения:

kama3434: Хорошо спасибо
Ответ дал: Roza279
1

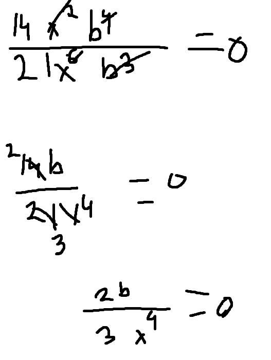
Ответ2b/3x *4*

Незнаю как здесь нормально можно дробы писать.. "/" это дробь если что

Вас заинтересует