• Предмет: Алгебра
  • Автор: 789456123579
  • Вопрос задан 3 года назад

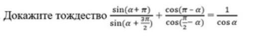
Доказать тождество ( смотреть скриншот ниже )

Приложения:

Ответы

Ответ дал: Аноним
1

(sin(α+π)/(sin(α+3π/2))+(cos(π-α)/cos(π/2-α))=

(-sinα)/(-cosα)+(-cosα)/(sinα)=(sin²α-cos²α)/(sinα*cosα)=(-2cos2α)/sin2α=

-2ctg2α

нет здесь тождества. явно ошибка в условии.

Ответ дал: NNNLLL54
0

\dfrac{sin(a+\pi )}{sin(a+\frac{3\pi}{2})}+\dfrac{cos(\pi -a)}{cos(\frac{\pi}{2}-a)}=\dfrac{-sina}{-cosa}+\dfrac{-cosa}{sina}=\dfrac{sina}{cosa}-\dfrac{cosa}{sina}=\\\\\\=\dfrac{sin^2a-cos^2a}{sina\cdot cosa}=\dfrac{-cos2a}{\frac{1}{2}sin2a}=-\dfrac{2cos2a}{sin2a}=-2ctg2a\\\\\\-2ctg2a\ne \dfrac{1}{cosa}

Вас заинтересует